Blog
Tempoh Masa In English
legal profession qualifying board
lhdn e filing due date 2016
lembaga hasil dalam negeri malaysia
lirik lagu negeri terengganu selamat sultan
lirik lagu turun naik dan artinya
lembaga hasil dalam negeri terengganu
lite fm online radio sri lanka
lhdn shah alam address
Tempoh Masa In English
Exam Paper Termodinamik P Sbph2203
Cbfc1103 1
Dalam And Its Collocates Download Table
Transcript Freelancer
Hbmt3103 Mei 2012
Hbmt3103 Jan 2013
Tempoh Masa In English
Contoh Kerja Kursus Geografi 2011 1 In 2020 Words Word Search Puzzle
Jangka Masa In English
Tempoh Masa In English
Oumm3203 0311
Isbauk Thinking Skills Academy Posts Facebook
Jp Facebook
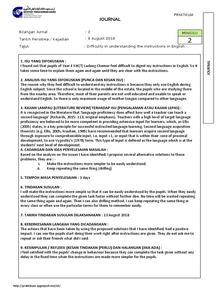
Journal Praktikum Second Language Second Language Acquisition
Facebook
Tempoh Masa In English
Ppt 17 May 2012 Csoc Bau Customer Service Management Powerpoint Presentation Id 2161197
Cbct2203 Exam Paper 2
Tempoh Masa In English
Source :
pinterest.com
Random Posts
Doa Qunut Subuh Dan Maksudnya
Dia Yang Ku Cinta Episod Akhir
Doa Sebelum Baca Quran Rumi
Divorce Rate In Malaysia 2017
Datuk Muhammad Mustafa Idrus Tasek Gelugor
Datuk Seri Mohd Redzuan Md Yusof
Diploma Pengurusan Dan Teknologi Pejabat Uitm Dungun
Diploma Pengurusan Dan Teknologi Pejabat Uitm Seri Iskandar
Dewan Serbaguna Kampung Baru
Dd Animation Studio Sdn Bhd Address
Dewan Bahasa Dan Pustaka Kuching
Deskripsi Tugas Pembantu Tadbir Kewangan
Datuk Shamsul Falak Kadir
Difference Between Sole Proprietorship Partnership And Company In Table
Department Of Statistics Malaysia Gdp
Definition Of Sme In Malaysia Lhdn
Dilarang Masuk Tanpa Kebenaran Png
Dbkl Cukai Taksiran Online Payment
Deskripsi Tugas Pembantu Tadbir Hrmis
Deskripsi Tugas Pembantu Tadbir Stor